合作客戶/
 拜耳公司  | 
 同濟大學  | 
 聯合大學  | 
 美國保潔  | 
 美國強生  | 
 瑞士羅氏  | 
相關新聞Info
推薦新聞Info
- 
                            
> 鈉鉀離子濃度對礦井水和純水表面張力、噴霧霧化特性的影響(三)
> 鈉鉀離子濃度對礦井水和純水表面張力、噴霧霧化特性的影響(二)
> 鈉鉀離子濃度對礦井水和純水表面張力、噴霧霧化特性的影響(一)
> Layzer模型與Zufiria模型研究界面張力對Rayleigh-Taylor氣泡不穩定性的影響
> 深過冷Ni-15%Sn合金熔體表面張力的實驗研究與應用前景
> ?表面張力在微孔曝氣法制備微氣泡中的核心作用——基于實驗研究的深度解析
> 十二胺功能化石墨烯量子點的制備、表面張力及對L-薄荷醇的緩釋作用(三)
> 十二胺功能化石墨烯量子點的制備、表面張力及對L-薄荷醇的緩釋作用(二)
> 十二胺功能化石墨烯量子點的制備、表面張力及對L-薄荷醇的緩釋作用(一)
> 超微量天平比普通電子天平“好”在哪?
 
多頻超聲波技術&人工神經網絡構建變壓器油界面張力預測模型(一)
來源: 《重慶理工大學學報(自然科學)》 瀏覽 1123 次 發布時間:2024-10-23
針對目前變壓器油界面張力的傳統檢測方法檢測時間長、成本高等問題,提出了基于多頻超聲檢測技術和人工智能算法的界面張力預測方法。對選取的175組變壓器油樣進行圓環法界面張力檢測和多頻超聲波檢測,分析了多頻超聲波信號的幅頻響應、相頻響應和界面張力之間的相關性。通過核主成分分析(KPCA)預處理多頻超聲波數據,劃分樣本集為140組的訓練集和35組的測試集,并建立麻雀搜索算法(SSA)優化Elman神經網絡(ENN)的界面張力預測模型,預測平均相對誤差為6.53%,預測準確率達到93.47%.
	
變壓器作為電力系統中電能轉換和傳輸的重要電氣設備,其運行過程中的安全穩定運行性和可靠性對于電力系統的穩定運行具有重要意義。
	
油浸式變壓器中的主要液體絕緣介質為變壓器油,是經石油加工后的多種天然烴類的混合物,具有良好的絕緣性、冷卻性和流動性。界面張力在一定程度上可以反映變壓器油中油和水的親和力的大小,油水兩相界面上的分子排列狀態會受親水性極性分子的含量影響,一旦被改變會影響變壓器油的絕緣性能。所以,變壓器油絕緣的劣化程度可以通過界面張力的大小來衡量。
	
針對變壓器油界面張力的檢測方法,GB/T6541規定了圓環法為其現行的標準檢測方法。界面張力的其他測定方法,有毛細管上升法、最大氣泡壓法、懸滴法、滴體積法和Wilhelmy吊片法等。以上傳統的測定方法需要昂貴的檢測設備和較長的檢測時間,在一定程度上會增加變壓器的運行成本,所以研究一種檢測時間短、運行成本低的檢測界面張力的方法對于判斷變壓器油的品質狀態具有重要意義。超聲波檢測技術作為一種無損檢測技術,在待測介質中傳播時對介質無損傷,且檢測的速度快、對環境的抗干擾能力強,在液體檢測領域有著充分的發展和應用。
	
2005年,Elvira等針對檢測牛奶中微生物的生長情況問題,利用超聲波的振幅和延遲信息,在不打開包裝的前提下開發了一種八通道超聲波設備。
	
2014年,王娜利用牛奶與超聲波衰減機理,研究了成分含量正常的牛奶與加入食品添加劑或者變質的牛奶對不同頻率超聲波的聲衰減譜特性,實現了牛奶質量在線與現場無損傷檢測與評估。
	
2019年,Baesso等針對生物柴油的質量和純度評估問題,利用超聲波在傳播過程中的聲速和衰減系數的變化情況,檢測出了質量分數為0.1%的污染物。除了在液體檢測領域的應用外,在變壓器狀態檢測方面超聲波也有一定的應用和發展,主要是將超聲波應用在變壓器局部放電檢測和變壓器繞組變形檢測等方面。
	
近年來,超聲波檢測技術逐漸應用到變壓器油的檢測上。2019年,Yang等針對變壓器油中的微水含量問題,利用多頻超聲波在具有不同特性的變壓器油中傳播時聲衰減情況的不同,分析幅值和相位等聲學參數的變化規律,并結合人工神經網絡實現了對變壓器油中微水含量的有效預測。2022年,陳越利用超聲波接收波形的峰值對水泥砂漿的均勻度進行了檢測判斷,相較于目前對凝固后固態水泥的檢測,對于攪拌質量的檢測更有實際意義。2022年,Li等利用多頻超聲檢測技術提出了PSOElman模型,實現了對變壓器油介損因數的有效預測。
	
2019年,楊壯等利用多頻超聲波技術對變壓器油進行檢測,并結合GABPNN對變壓器油界面張力進行預測,但該研究針對聲學參數和界面張力之間相關性的分析只考慮了超聲波信號的幅值,未考慮聲速、相位等參數信息。
	
因此,基于多頻超聲波技術,并結合人工神經網絡提出對變壓器油的界面張力的檢測方法,綜合分析超聲波信號幅值、相位等參數與界面張力之間的關系,建立以核主成分分析(kernelprincipalcomponentanalysis,KPCA)預處理數據、麻雀搜索算法(sparrowsearchalgorithm,SSA)優化Elman神經網絡(ENN)參數的界面張力預測模型,以采集到的多頻超聲波數據為輸入、圓環法測得的界面張力為輸出,并劃分訓練集和測試集,以測試集的預測準確率驗證界面張力預測模型的可行性。
	
1變壓器油界面張力的多頻超聲檢測
	
1.1多頻超聲檢測平臺
	
用于檢測變壓器油的多頻超聲檢測平臺結構如圖1所示。
	
圖1檢測平臺結構
	
該系統由3部分組成:超聲波傳感器、多頻超聲波控制單元和數據處理單元。多頻超聲波控制單元包括產生超聲波信號的超聲波發射模塊和用于接收超聲波信號的超聲波接收模塊,其中超聲波傳感器的輸入端與超聲波發射模塊連接,超聲波傳感器的輸出端與超聲波接收模塊連接。與多頻控制單元的信號輸出口相連接的超聲波發射器將電信號經過延遲線中的超聲換能器轉換為聲波信號,并進入測量室中的待測介質變壓器油中進行傳播。超聲波發射模塊每20s產生40個頻率范圍為590——1000kHz的超聲波信號,40個頻率點如表1所示。
	
表1多頻超聲波的檢測頻率kHz
	
圖1所示的超聲波傳感器由超聲波接收器、
	
超聲波發射器、溫度傳感器、測量室和超聲波發射器組成,其中位于測量室兩端的2個超聲波接收器用于接收在變壓器油中傳播的超聲波信號,超聲波發射器進行信號發射。為保證超聲波實驗檢測的精度,變壓器油的多頻超聲檢測是在27.5℃的水浴恒溫環境中進行的,由位于測量室的溫度傳感器進行監測。數據處理單元通過數字信號處理電路與多頻超聲控制單元進行連接,用于處理多頻超聲波接收模塊接收到的超聲波信號。經過數據處理單元處理的超聲波信號,主要包括不同接收器所接收到的超聲波信號的幅值、相位以及超聲波信號在油中傳播時的聲速和飛行時間。
	
在多頻超聲變壓器油檢測實驗中,利用多頻超聲檢測平臺,將超聲波反射檢測法和超聲波透射檢測法相結合,對實驗所選取的175組變壓器油樣進行檢測。對于變壓器油的檢測,多頻超聲波檢測技術無需對油樣進行預處理,檢測的重復性好,在一定程度上縮短了檢測時間。超聲波反射檢測法和超聲波透射檢測法的不同之處在于,相對于待測介質,超聲波發射器和超聲波接收器放置的位置有所不同。前者的超聲波發射器和超聲波接收器位于待測介質的同側,而后者則位于待測介質變壓器油的兩側。超聲波信號經過延遲線到達測量室的待測介質變壓器油界面前,在基準介質和測量室的變壓器油界面之間反射,該反射信號反向傳播至超聲波接收器T1,為相信號L1;沒有發生反射的另一部分超聲波信號發生透射在待測介質變壓器油中傳播,傳播至超聲波接收器T2處被接收,為相信號L3;經過透射傳播至超聲波接收器T2的超聲波信號,一部分再次經過反射在變壓器油中進行傳播至超聲波接收器T1,為相信號L2.
	
1.2多頻超聲檢測變壓器油的聲衰減原理
	
多頻超聲檢測變壓器油利用的主要是超聲波在傳播過程中的聲衰減特性。引起超聲波在待測介質傳播過程中衰減的主要原因是波束擴散、晶粒散射和介質吸收。擴散衰減是指超聲波在變壓器油傳播的過程中,由于波束的擴散,隨著傳播距離的增加超聲波的能量逐漸衰減的過程,其僅取決于波面的形狀,與變壓器油本身的特性無關。
	
散射衰減是由于變壓器油中如雜質粒子和帶點膠體等的存在,超聲波在油中傳播時,遇到聲阻抗不同的界面產生散射而造成的能量大量衰減。超聲波在介質中傳播時,由于介質中質點間摩擦的黏滯性和熱傳導引起的能量衰減為吸收衰減。
	
對于變壓器油這種液體絕緣介質,超聲波傳播過程中的超聲波衰減主要是吸收衰減造成的,其衰減系數滿足:
	
式中:f為超聲波信號的頻率,η為黏滯系數,c和ρ分別為超聲波在變壓器油中的聲速和變壓器油的密度。主要影響吸收衰減系數的是黏滯系數η,與衰減系數成正比;與黏滯系數相反,ρ和c與吸收衰減系數成反比。
	
由超聲波發射器發射的超聲波信號垂直入射至變壓器油的分界面處時,一部分超聲波信號透射入變壓器油中繼續傳播,其余部分的超聲波信號垂直反射回超聲波接收器,如圖2所示。變壓器油分界面處的聲壓和質點的振速滿足連續原則,則可求得聲壓反射系數和聲壓透射系數分別為:
	
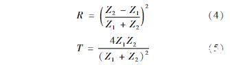
式中:γP和τP分別為聲壓的反射系數和透射系數,Z1和Z2分別代表基準介質和待測介質變壓器油的聲阻抗。
	
圖2超聲波信號在變壓器油中傳播時的反射和透射示意圖
	
當超聲波信號從聲阻抗低的基準介質傳播進入聲阻抗高的待測介質時,反射超聲波信號的聲壓小于超聲波的入射聲壓,則透射超聲波的聲壓大;當超聲波信號從聲阻抗高的基準介質進入聲阻抗低的待測介質時,反射超聲波信號的聲壓的絕對值小于入射聲壓,但反射的超聲波信號與入射超聲波信號的傳播方向相反,會產生相互抵消的作用,使得透射超聲波信號的聲壓很小。當Z1>>Z2或Z2>>Z1時,超聲波幾乎全反射。而當2種介質的聲阻抗約相等時,可看做2種介質連續,超聲波近似發生全透射。
	
聲強是一種單位能量,用來表示能量分配的聲強反射率和透射率,由于超聲波能量傳播時滿足能量守恒定律的關系,滿足R+T=1,其中
	
超聲波信號在傳播的過程中,其透射和反射能量的大小與基準介質和待測介質2種介質的聲阻抗的差異有關。兩者的差異越小,超聲波傳播時聲強的透射率越大,反射率越小。
	
變壓器油作為液體絕緣介質,在變壓器的運行過程中,由于電場作用、氧化反應、高溫環境以及水分等對變壓器油的影響,油中會產生極性雜質和帶電膠體,而超聲波在變壓器油中傳播時,極性雜質和帶電膠體的存在會引起如圖3所示的超
	
聲波的散射和吸收衰減,在一定程度上加劇了超聲波在變壓器油中傳輸時的衰減。
	
圖3超聲波在變壓器油中傳輸的聲衰減示意圖
	





